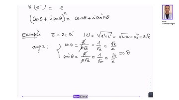
nombre complexe : résumé du cours - Module Argument Équation Forme exponentielle Trigonométrique

Tonton & Download Video Musik Gratis

⬇ DOWNLOAD NOW
Kalau muncul iklan pop-up, tutup lalu klik tombol kembali

Download lagu nombre complexe : résumé du cours - Module Argument Équation Forme exponentielle Trigonométrique secara gratis hanya untuk keperluan promosi. Dukung artis favorit kamu dengan membeli musik original di iTunes atau platform resmi lainnya.