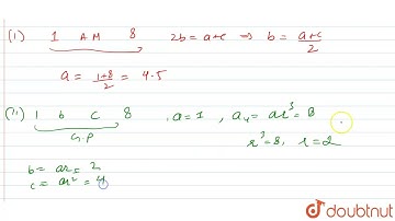
Let a be the A.M. and b,c bet wo G.M\'s between two positive numbers. Then `b^3+c^3` is equal to

Tonton & Download Video Musik Gratis

⬇ DOWNLOAD NOW
Kalau muncul iklan pop-up, tutup lalu klik tombol kembali

Download lagu Let a be the A.M. and b,c bet wo G.M\'s between two positive numbers. Then `b^3+c^3` is equal to secara gratis hanya untuk keperluan promosi. Dukung artis favorit kamu dengan membeli musik original di iTunes atau platform resmi lainnya.