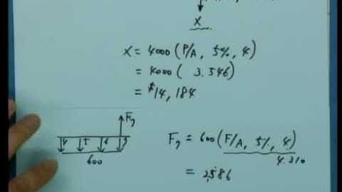
compute the equivalent value of these cash flows at n=5 (yr), using i=12% (annually).

Tonton & Download Video Musik Gratis

⬇ DOWNLOAD NOW
Kalau muncul iklan pop-up, tutup lalu klik tombol kembali

Download lagu compute the equivalent value of these cash flows at n=5 (yr), using i=12% (annually). secara gratis hanya untuk keperluan promosi. Dukung artis favorit kamu dengan membeli musik original di iTunes atau platform resmi lainnya.