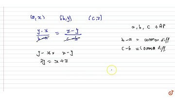
If a, b, c are in A.P and x, y, z are in G.P, then prove that? #kamashyaeducation #GeometricProgress

Tonton & Download Video Musik Gratis

⬇ DOWNLOAD NOW
Kalau muncul iklan pop-up, tutup lalu klik tombol kembali

Download lagu If a, b, c are in A.P and x, y, z are in G.P, then prove that? #kamashyaeducation #GeometricProgress secara gratis hanya untuk keperluan promosi. Dukung artis favorit kamu dengan membeli musik original di iTunes atau platform resmi lainnya.