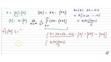
In the following, [x] denotes the greatest integer less than or equal to x.\n\n\n\nColumn I\nCol....

Tonton & Download Video Musik Gratis

⬇ DOWNLOAD NOW
Kalau muncul iklan pop-up, tutup lalu klik tombol kembali

Download lagu In the following, [x] denotes the greatest integer less than or equal to x.\n\n\n\nColumn I\nCol.... secara gratis hanya untuk keperluan promosi. Dukung artis favorit kamu dengan membeli musik original di iTunes atau platform resmi lainnya.