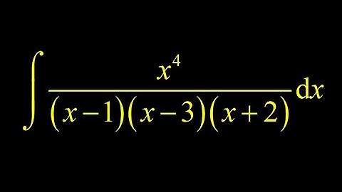
Calculus: Integration - Partial Fractions (3 of 16) Case 1: Product of Linear Factors

Tonton & Download Video Musik Gratis

⬇ DOWNLOAD NOW
Kalau muncul iklan pop-up, tutup lalu klik tombol kembali

Download lagu Calculus: Integration - Partial Fractions (3 of 16) Case 1: Product of Linear Factors secara gratis hanya untuk keperluan promosi. Dukung artis favorit kamu dengan membeli musik original di iTunes atau platform resmi lainnya.