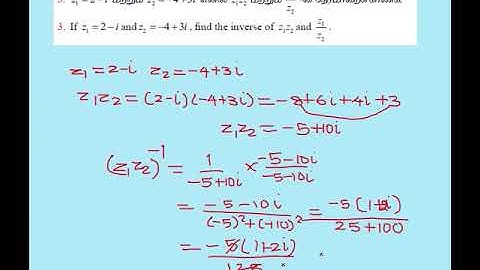
12th Maths ( Exercise 2.4 Q.No.3) Complex Number Tn New Syllabus

Tonton & Download Video Musik Gratis

⬇ DOWNLOAD NOW
Kalau muncul iklan pop-up, tutup lalu klik tombol kembali

Download lagu 12th Maths ( Exercise 2.4 Q.No.3) Complex Number Tn New Syllabus secara gratis hanya untuk keperluan promosi. Dukung artis favorit kamu dengan membeli musik original di iTunes atau platform resmi lainnya.