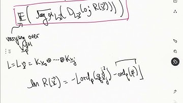
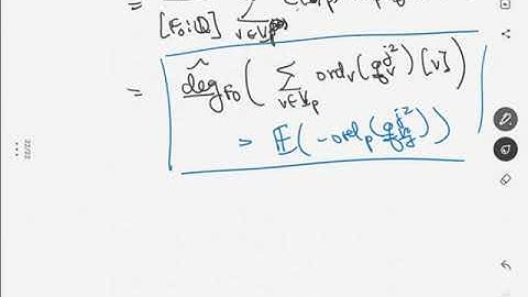
Thm 1.10 - Probabilistic Version - part 08 - The Appearance of 6+eps in Szpiro

Tonton & Download Video Musik Gratis

⬇ DOWNLOAD NOW
Kalau muncul iklan pop-up, tutup lalu klik tombol kembali

Download lagu Thm 1.10 - Probabilistic Version - part 08 - The Appearance of 6+eps in Szpiro secara gratis hanya untuk keperluan promosi. Dukung artis favorit kamu dengan membeli musik original di iTunes atau platform resmi lainnya.