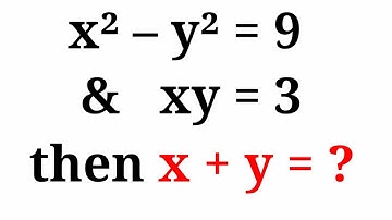
A Beautiful Exponents Problem | If xy=3 , x² - y² = 9 then find the value of x+y

Tonton & Download Video Musik Gratis

⬇ DOWNLOAD NOW
Kalau muncul iklan pop-up, tutup lalu klik tombol kembali

Download lagu A Beautiful Exponents Problem | If xy=3 , x² - y² = 9 then find the value of x+y secara gratis hanya untuk keperluan promosi. Dukung artis favorit kamu dengan membeli musik original di iTunes atau platform resmi lainnya.