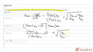
The root mean square speed of hydrogen is \( \sqrt{5} \) times than that of nitrogen. If \( T \)...

Tonton & Download Video Musik Gratis

⬇ DOWNLOAD NOW
Kalau muncul iklan pop-up, tutup lalu klik tombol kembali

Download lagu The root mean square speed of hydrogen is \( \sqrt{5} \) times than that of nitrogen. If \( T \)... secara gratis hanya untuk keperluan promosi. Dukung artis favorit kamu dengan membeli musik original di iTunes atau platform resmi lainnya.