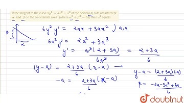
"If the tangent to the curve `y= (x)/(x^(2) - 3), x in r ( xne pm sqrt3)`, at a point `(alpha, beta

Tonton & Download Video Musik Gratis

⬇ DOWNLOAD NOW
Kalau muncul iklan pop-up, tutup lalu klik tombol kembali

Download lagu "If the tangent to the curve `y= (x)/(x^(2) - 3), x in r ( xne pm sqrt3)`, at a point `(alpha, beta secara gratis hanya untuk keperluan promosi. Dukung artis favorit kamu dengan membeli musik original di iTunes atau platform resmi lainnya.