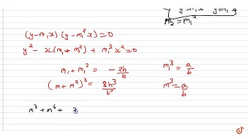
If slope of one of the lines `ax^(2)+2hxy+by^(2)=0` is twice that of the other, then `h^(2):ab=`

Tonton & Download Video Musik Gratis

⬇ DOWNLOAD NOW
Kalau muncul iklan pop-up, tutup lalu klik tombol kembali

Download lagu If slope of one of the lines `ax^(2)+2hxy+by^(2)=0` is twice that of the other, then `h^(2):ab=` secara gratis hanya untuk keperluan promosi. Dukung artis favorit kamu dengan membeli musik original di iTunes atau platform resmi lainnya.