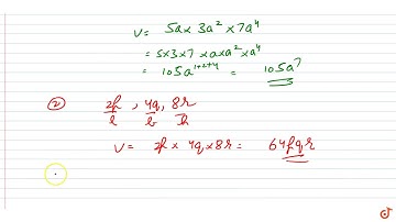
Obtain the volume of the rectangular boxes with the following length, breadth, height respectivelyI

Tonton & Download Video Musik Gratis

⬇ DOWNLOAD NOW
Kalau muncul iklan pop-up, tutup lalu klik tombol kembali

Download lagu Obtain the volume of the rectangular boxes with the following length, breadth, height respectivelyI secara gratis hanya untuk keperluan promosi. Dukung artis favorit kamu dengan membeli musik original di iTunes atau platform resmi lainnya.