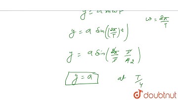
The displacement of a particle executing S.H.M. at any instant t is x = A sin#969;t, where A is ....

Tonton & Download Video Musik Gratis

⬇ DOWNLOAD NOW
Kalau muncul iklan pop-up, tutup lalu klik tombol kembali

Download lagu The displacement of a particle executing S.H.M. at any instant t is x = A sin#969;t, where A is .... secara gratis hanya untuk keperluan promosi. Dukung artis favorit kamu dengan membeli musik original di iTunes atau platform resmi lainnya.