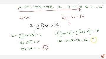
The sum of the first 7 terms of an A.p is 140 and the sum of the next 7 terms of the same A.p is 385

Tonton & Download Video Musik Gratis

⬇ DOWNLOAD NOW
Kalau muncul iklan pop-up, tutup lalu klik tombol kembali

Download lagu The sum of the first 7 terms of an A.p is 140 and the sum of the next 7 terms of the same A.p is 385 secara gratis hanya untuk keperluan promosi. Dukung artis favorit kamu dengan membeli musik original di iTunes atau platform resmi lainnya.