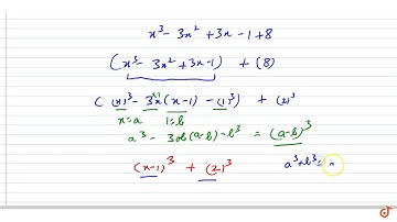
Factorize : ltmath gt ltmrow gt ltmsup gt ltmi gtx lt/mi gt ltmn gt3 lt/mn gt lt/msup gt

Tonton & Download Video Musik Gratis

⬇ DOWNLOAD NOW
Kalau muncul iklan pop-up, tutup lalu klik tombol kembali

Download lagu Factorize : ltmath gt ltmrow gt ltmsup gt ltmi gtx lt/mi gt ltmn gt3 lt/mn gt lt/msup gt secara gratis hanya untuk keperluan promosi. Dukung artis favorit kamu dengan membeli musik original di iTunes atau platform resmi lainnya.