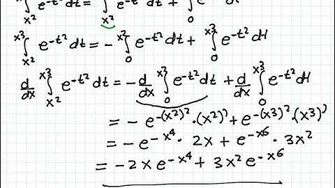
McGill Math 141 tutor Fundamental Theorem of Calculus 4 Video tutorial 24

Tonton & Download Video Musik Gratis

⬇ DOWNLOAD NOW
Kalau muncul iklan pop-up, tutup lalu klik tombol kembali

Download lagu McGill Math 141 tutor Fundamental Theorem of Calculus 4 Video tutorial 24 secara gratis hanya untuk keperluan promosi. Dukung artis favorit kamu dengan membeli musik original di iTunes atau platform resmi lainnya.