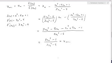
Math 2413 - Calculus 1 - Section 4.8 Lesson - Newton's Method

Tonton & Download Video Musik Gratis

⬇ DOWNLOAD NOW
Kalau muncul iklan pop-up, tutup lalu klik tombol kembali

Download lagu Math 2413 - Calculus 1 - Section 4.8 Lesson - Newton's Method secara gratis hanya untuk keperluan promosi. Dukung artis favorit kamu dengan membeli musik original di iTunes atau platform resmi lainnya.