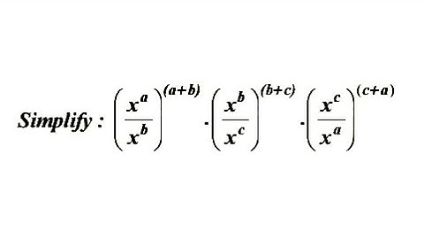
Evaluate (x^a+b/ x^c)^a-b . (x^b+c/ x^a)^b-c . (x^c+a/ x^b)^c-a || Indices Doubt.

Tonton & Download Video Musik Gratis

⬇ DOWNLOAD NOW
Kalau muncul iklan pop-up, tutup lalu klik tombol kembali

Download lagu Evaluate (x^a+b/ x^c)^a-b . (x^b+c/ x^a)^b-c . (x^c+a/ x^b)^c-a || Indices Doubt. secara gratis hanya untuk keperluan promosi. Dukung artis favorit kamu dengan membeli musik original di iTunes atau platform resmi lainnya.