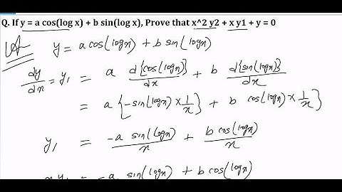
The differential equation whose general solution is `y=acos(logx)+b sin(logx)` is :

Tonton & Download Video Musik Gratis

⬇ DOWNLOAD NOW
Kalau muncul iklan pop-up, tutup lalu klik tombol kembali

Download lagu The differential equation whose general solution is `y=acos(logx)+b sin(logx)` is : secara gratis hanya untuk keperluan promosi. Dukung artis favorit kamu dengan membeli musik original di iTunes atau platform resmi lainnya.