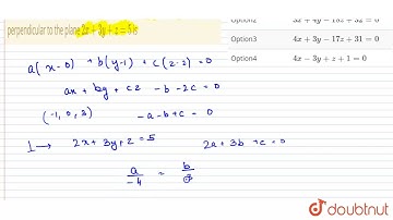
Find an equation of the plane passing through the points. (0,-1,0),(1,1,0),(2,1,2)

Tonton & Download Video Musik Gratis

⬇ DOWNLOAD NOW
Kalau muncul iklan pop-up, tutup lalu klik tombol kembali

Download lagu Find an equation of the plane passing through the points. (0,-1,0),(1,1,0),(2,1,2) secara gratis hanya untuk keperluan promosi. Dukung artis favorit kamu dengan membeli musik original di iTunes atau platform resmi lainnya.