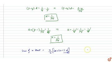
If Pth term of an A.P is 1/q and Qth term of an A.P is 1/p then find pqth term ?

Tonton & Download Video Musik Gratis

⬇ DOWNLOAD NOW
Kalau muncul iklan pop-up, tutup lalu klik tombol kembali

Download lagu If Pth term of an A.P is 1/q and Qth term of an A.P is 1/p then find pqth term ? secara gratis hanya untuk keperluan promosi. Dukung artis favorit kamu dengan membeli musik original di iTunes atau platform resmi lainnya.