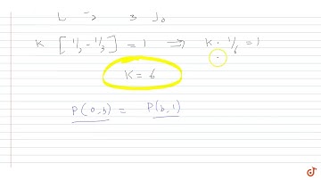
Find k if the function f(x) is defined by `f(x)=kx(1-x),"for "0ltxlt1` =0 , otherwise, is the

Tonton & Download Video Musik Gratis

⬇ DOWNLOAD NOW
Kalau muncul iklan pop-up, tutup lalu klik tombol kembali

Download lagu Find k if the function f(x) is defined by `f(x)=kx(1-x),"for "0ltxlt1` =0 , otherwise, is the secara gratis hanya untuk keperluan promosi. Dukung artis favorit kamu dengan membeli musik original di iTunes atau platform resmi lainnya.