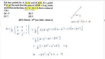
Let two points be A(1,-1) and B(0,2). If a point P(x^', y^') be such that the area of ΔPAB=5 sq. ...

Tonton & Download Video Musik Gratis

⬇ DOWNLOAD NOW
Kalau muncul iklan pop-up, tutup lalu klik tombol kembali

Download lagu Let two points be A(1,-1) and B(0,2). If a point P(x^', y^') be such that the area of ΔPAB=5 sq. ... secara gratis hanya untuk keperluan promosi. Dukung artis favorit kamu dengan membeli musik original di iTunes atau platform resmi lainnya.