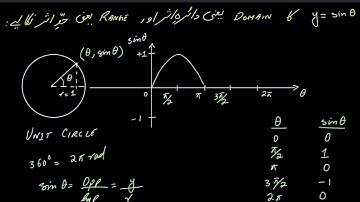
πŸ“Š Solving Sin(x) = -0.25 Using a Graph | Trigonometry Explained Step by Step #maths#students #school

Tonton & Download Video Musik Gratis

⬇ DOWNLOAD NOW
Kalau muncul iklan pop-up, tutup lalu klik tombol kembali

Download lagu πŸ“Š Solving Sin(x) = -0.25 Using a Graph | Trigonometry Explained Step by Step #maths#students #school secara gratis hanya untuk keperluan promosi. Dukung artis favorit kamu dengan membeli musik original di iTunes atau platform resmi lainnya.