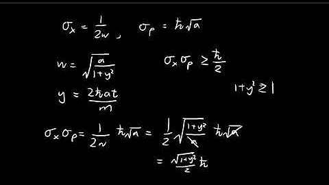
Griffiths QM Problem 2.22: Checking the Uncertainty Principle for a Free Particle (Hard Problem)

Tonton & Download Video Musik Gratis

⬇ DOWNLOAD NOW
Kalau muncul iklan pop-up, tutup lalu klik tombol kembali

Download lagu Griffiths QM Problem 2.22: Checking the Uncertainty Principle for a Free Particle (Hard Problem) secara gratis hanya untuk keperluan promosi. Dukung artis favorit kamu dengan membeli musik original di iTunes atau platform resmi lainnya.