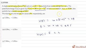
A single conservative force `F(x)` acts on a `1.0-kg` particle that moves along the x-axis.

Tonton & Download Video Musik Gratis

⬇ DOWNLOAD NOW
Kalau muncul iklan pop-up, tutup lalu klik tombol kembali

Download lagu A single conservative force `F(x)` acts on a `1.0-kg` particle that moves along the x-axis. secara gratis hanya untuk keperluan promosi. Dukung artis favorit kamu dengan membeli musik original di iTunes atau platform resmi lainnya.