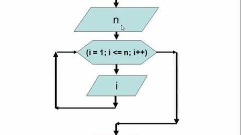
#6 dars | For sikl operatori (for loop) | C++ da dasturlash

Tonton & Download Video Musik Gratis

⬇ DOWNLOAD NOW
Kalau muncul iklan pop-up, tutup lalu klik tombol kembali

Download lagu #6 dars | For sikl operatori (for loop) | C++ da dasturlash secara gratis hanya untuk keperluan promosi. Dukung artis favorit kamu dengan membeli musik original di iTunes atau platform resmi lainnya.