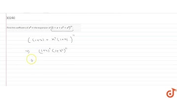
The coefficient of x^4 in the expansion of (1 + x + x^2)10 is — | JEE MAIN 2020| Binomial Theorem

Tonton & Download Video Musik Gratis

⬇ DOWNLOAD NOW
Kalau muncul iklan pop-up, tutup lalu klik tombol kembali

Download lagu The coefficient of x^4 in the expansion of (1 + x + x^2)10 is — | JEE MAIN 2020| Binomial Theorem secara gratis hanya untuk keperluan promosi. Dukung artis favorit kamu dengan membeli musik original di iTunes atau platform resmi lainnya.