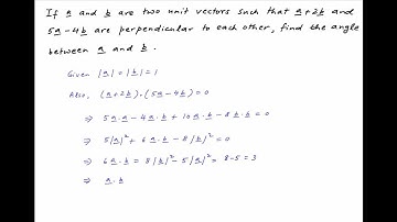
Find the angle between two vectors ` vec a\\ a n d\\ vec b ,` if `| vec axx vec b|= vec adot vec...

Tonton & Download Video Musik Gratis

⬇ DOWNLOAD NOW
Kalau muncul iklan pop-up, tutup lalu klik tombol kembali

Download lagu Find the angle between two vectors ` vec a\\ a n d\\ vec b ,` if `| vec axx vec b|= vec adot vec... secara gratis hanya untuk keperluan promosi. Dukung artis favorit kamu dengan membeli musik original di iTunes atau platform resmi lainnya.