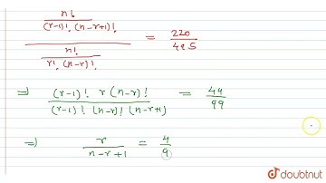
If three successive coefficients in the expansion of (1+x)^n are 28,56 and 70, find ' n '.

Tonton & Download Video Musik Gratis

⬇ DOWNLOAD NOW
Kalau muncul iklan pop-up, tutup lalu klik tombol kembali

Download lagu If three successive coefficients in the expansion of (1+x)^n are 28,56 and 70, find ' n '. secara gratis hanya untuk keperluan promosi. Dukung artis favorit kamu dengan membeli musik original di iTunes atau platform resmi lainnya.