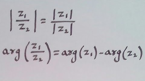
Complex Numbers Properties of Quotients and Products of Complex Numbers modulus and argument Part 6

Tonton & Download Video Musik Gratis

⬇ DOWNLOAD NOW
Kalau muncul iklan pop-up, tutup lalu klik tombol kembali

Download lagu Complex Numbers Properties of Quotients and Products of Complex Numbers modulus and argument Part 6 secara gratis hanya untuk keperluan promosi. Dukung artis favorit kamu dengan membeli musik original di iTunes atau platform resmi lainnya.