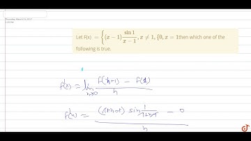
Let f(x)={■((x-1) sin⁡〖1/(x-1)〗&if x≠1@0&if x=1)┤ Then which one of the following is true

Tonton & Download Video Musik Gratis

⬇ DOWNLOAD NOW
Kalau muncul iklan pop-up, tutup lalu klik tombol kembali

Download lagu Let f(x)={■((x-1) sin⁡〖1/(x-1)〗&if x≠1@0&if x=1)┤ Then which one of the following is true secara gratis hanya untuk keperluan promosi. Dukung artis favorit kamu dengan membeli musik original di iTunes atau platform resmi lainnya.