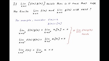
[IIT 1989] Find the function g(x) defined on (-1,1) under the following conditions.

Tonton & Download Video Musik Gratis

⬇ DOWNLOAD NOW
Kalau muncul iklan pop-up, tutup lalu klik tombol kembali

Download lagu [IIT 1989] Find the function g(x) defined on (-1,1) under the following conditions. secara gratis hanya untuk keperluan promosi. Dukung artis favorit kamu dengan membeli musik original di iTunes atau platform resmi lainnya.