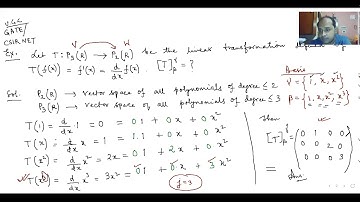
Math 060 Linear Algebra 18 102214: Matrix Representations of Linear Transformations (part 3)

Tonton & Download Video Musik Gratis

⬇ DOWNLOAD NOW
Kalau muncul iklan pop-up, tutup lalu klik tombol kembali

Download lagu Math 060 Linear Algebra 18 102214: Matrix Representations of Linear Transformations (part 3) secara gratis hanya untuk keperluan promosi. Dukung artis favorit kamu dengan membeli musik original di iTunes atau platform resmi lainnya.