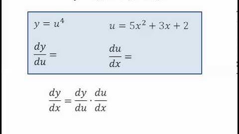
Math 2413 Sec 3.7 (part 1) Introduction to the Chain Rule

Tonton & Download Video Musik Gratis

⬇ DOWNLOAD NOW
Kalau muncul iklan pop-up, tutup lalu klik tombol kembali

Download lagu Math 2413 Sec 3.7 (part 1) Introduction to the Chain Rule secara gratis hanya untuk keperluan promosi. Dukung artis favorit kamu dengan membeli musik original di iTunes atau platform resmi lainnya.