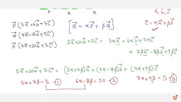
If `veca,vecb,vecc` are non zero and non coplanar vectors show that the

Tonton & Download Video Musik Gratis

⬇ DOWNLOAD NOW
Kalau muncul iklan pop-up, tutup lalu klik tombol kembali

Download lagu If `veca,vecb,vecc` are non zero and non coplanar vectors show that the secara gratis hanya untuk keperluan promosi. Dukung artis favorit kamu dengan membeli musik original di iTunes atau platform resmi lainnya.