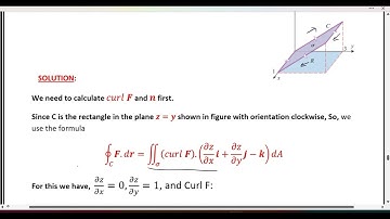
Multi Calculus Ex # 15.8 Q # 5 Vectors Field: Stoke's Theorem And Surface Integrals

Tonton & Download Video Musik Gratis

⬇ DOWNLOAD NOW
Kalau muncul iklan pop-up, tutup lalu klik tombol kembali

Download lagu Multi Calculus Ex # 15.8 Q # 5 Vectors Field: Stoke's Theorem And Surface Integrals secara gratis hanya untuk keperluan promosi. Dukung artis favorit kamu dengan membeli musik original di iTunes atau platform resmi lainnya.