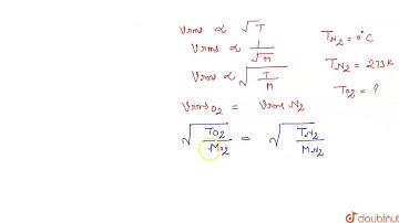
The temperature at which the rms velocity of co2 is equal to the rms velocity of n2o at 27c is-

Tonton & Download Video Musik Gratis

⬇ DOWNLOAD NOW
Kalau muncul iklan pop-up, tutup lalu klik tombol kembali

Download lagu The temperature at which the rms velocity of co2 is equal to the rms velocity of n2o at 27c is- secara gratis hanya untuk keperluan promosi. Dukung artis favorit kamu dengan membeli musik original di iTunes atau platform resmi lainnya.