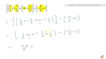
Ex 4.1, 7 - Express in a + ib: (1/3 + i 7/3) + (4 + i1/3) - (-4/3 - Teachoo

Tonton & Download Video Musik Gratis

⬇ DOWNLOAD NOW
Kalau muncul iklan pop-up, tutup lalu klik tombol kembali

Download lagu Ex 4.1, 7 - Express in a + ib: (1/3 + i 7/3) + (4 + i1/3) - (-4/3 - Teachoo secara gratis hanya untuk keperluan promosi. Dukung artis favorit kamu dengan membeli musik original di iTunes atau platform resmi lainnya.