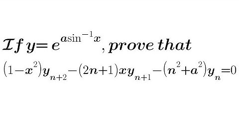
Leibnitiz Theorem | If y=(sin^-1x)^2 prove that (1-x^2)yn+2+(2n+1)xyn+1+(n^2)yn=0

Tonton & Download Video Musik Gratis

⬇ DOWNLOAD NOW
Kalau muncul iklan pop-up, tutup lalu klik tombol kembali

Download lagu Leibnitiz Theorem | If y=(sin^-1x)^2 prove that (1-x^2)yn+2+(2n+1)xyn+1+(n^2)yn=0 secara gratis hanya untuk keperluan promosi. Dukung artis favorit kamu dengan membeli musik original di iTunes atau platform resmi lainnya.