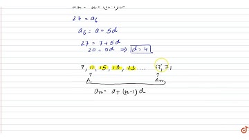
If \'n\' arithmetic means are inserted between 7 and 71 such that 5th A.M. is 27 then n= ?

Tonton & Download Video Musik Gratis

⬇ DOWNLOAD NOW
Kalau muncul iklan pop-up, tutup lalu klik tombol kembali

Download lagu If \'n\' arithmetic means are inserted between 7 and 71 such that 5th A.M. is 27 then n= ? secara gratis hanya untuk keperluan promosi. Dukung artis favorit kamu dengan membeli musik original di iTunes atau platform resmi lainnya.