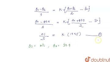
A body cools from \( 50.0^{\circ} \mathrm{C} \) to \( 48^{\circ} \mathrm{C} \) in \( 5 \mathrm{~...

Tonton & Download Video Musik Gratis

⬇ DOWNLOAD NOW
Kalau muncul iklan pop-up, tutup lalu klik tombol kembali

Download lagu A body cools from \( 50.0^{\circ} \mathrm{C} \) to \( 48^{\circ} \mathrm{C} \) in \( 5 \mathrm{~... secara gratis hanya untuk keperluan promosi. Dukung artis favorit kamu dengan membeli musik original di iTunes atau platform resmi lainnya.