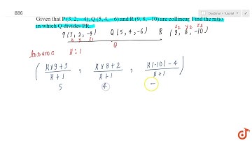
Show that the points A(3,2,-4),B(5,4,-6),C(9,8,-10)are collinear and find the ratio in which B

Tonton & Download Video Musik Gratis

⬇ DOWNLOAD NOW
Kalau muncul iklan pop-up, tutup lalu klik tombol kembali

Download lagu Show that the points A(3,2,-4),B(5,4,-6),C(9,8,-10)are collinear and find the ratio in which B secara gratis hanya untuk keperluan promosi. Dukung artis favorit kamu dengan membeli musik original di iTunes atau platform resmi lainnya.