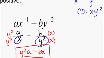
Saxon Math - Algebra 1: 3rd Edition, Lesson 57 - Adding Algebraic Expressions (Negative Exponents)

Tonton & Download Video Musik Gratis

⬇ DOWNLOAD NOW
Kalau muncul iklan pop-up, tutup lalu klik tombol kembali

Download lagu Saxon Math - Algebra 1: 3rd Edition, Lesson 57 - Adding Algebraic Expressions (Negative Exponents) secara gratis hanya untuk keperluan promosi. Dukung artis favorit kamu dengan membeli musik original di iTunes atau platform resmi lainnya.