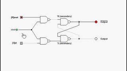
Gated/Clocked RS Nand Latch -- interactive circuit simulation from teahlab.com

Tonton & Download Video Musik Gratis

⬇ DOWNLOAD NOW
Kalau muncul iklan pop-up, tutup lalu klik tombol kembali

Download lagu Gated/Clocked RS Nand Latch -- interactive circuit simulation from teahlab.com secara gratis hanya untuk keperluan promosi. Dukung artis favorit kamu dengan membeli musik original di iTunes atau platform resmi lainnya.