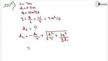
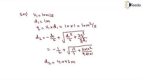
1st Numerical of Hydraulic Jump - Flow through Open Channels - Applied Hydraulics

Tonton & Download Video Musik Gratis

⬇ DOWNLOAD NOW
Kalau muncul iklan pop-up, tutup lalu klik tombol kembali

Download lagu 1st Numerical of Hydraulic Jump - Flow through Open Channels - Applied Hydraulics secara gratis hanya untuk keperluan promosi. Dukung artis favorit kamu dengan membeli musik original di iTunes atau platform resmi lainnya.