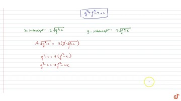
Find the locus of center of circle that touches X-axis and circle with center (0,3) and radius 2.

Tonton & Download Video Musik Gratis

⬇ DOWNLOAD NOW
Kalau muncul iklan pop-up, tutup lalu klik tombol kembali

Download lagu Find the locus of center of circle that touches X-axis and circle with center (0,3) and radius 2. secara gratis hanya untuk keperluan promosi. Dukung artis favorit kamu dengan membeli musik original di iTunes atau platform resmi lainnya.