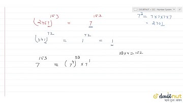
How to find unit digit of (2467)^153×(341)^72|Tips & tricks🔥📝 #ytshorts #yt #maths #mronkoshorts

Tonton & Download Video Musik Gratis

⬇ DOWNLOAD NOW
Kalau muncul iklan pop-up, tutup lalu klik tombol kembali

Download lagu How to find unit digit of (2467)^153×(341)^72|Tips & tricks🔥📝 #ytshorts #yt #maths #mronkoshorts secara gratis hanya untuk keperluan promosi. Dukung artis favorit kamu dengan membeli musik original di iTunes atau platform resmi lainnya.