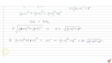
if a circle C passing through the point (4, 0) touches the circle x ^ 2 + y ^ 2 + 4x - 6y = 12

Tonton & Download Video Musik Gratis

⬇ DOWNLOAD NOW
Kalau muncul iklan pop-up, tutup lalu klik tombol kembali

Download lagu if a circle C passing through the point (4, 0) touches the circle x ^ 2 + y ^ 2 + 4x - 6y = 12 secara gratis hanya untuk keperluan promosi. Dukung artis favorit kamu dengan membeli musik original di iTunes atau platform resmi lainnya.